Histoire de l'Académie Royale des Sciences et des Belles-Lettres de Berlin

1747 (Berlin: Haude, 1749)

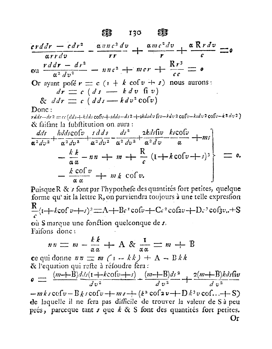
EULER, Leonhard: Recherches sur le mouvement des corps célestes en général